Официальное опубликование правовых актов
ОФИЦИАЛЬНОЕ ОПУБЛИКОВАНИЕ
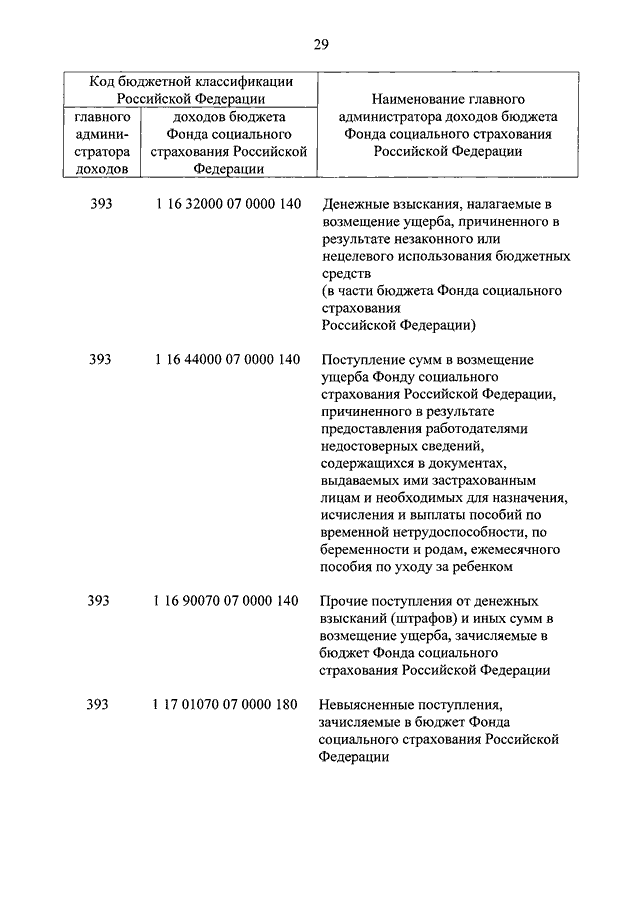
Федеральный закон от 03.12.2012 № 219-ФЗ
"О бюджете Фонда социального страхования Российской Федерации на 2013 год и на плановый период 2014 и 2015 годов"
Номер опубликования: 0001201212040031
Дата опубликования: 04.12.2012
Страница №29 из 107:
Увеличить