Официальное опубликование правовых актов
ОФИЦИАЛЬНОЕ ОПУБЛИКОВАНИЕ
Приказ Министерства культуры Российской Федерации от 23.04.2015 № 1114
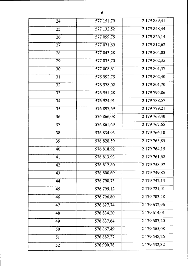
"Об утверждении границы и режима использования территории объекта культурного наследия федерального значения "Ансамбль Новгородского Кремля, ХІ-ХХ века", расположенного по адресу: г. Великий Новгород, Кремль"
(Зарегистрирован 25.05.2015 № 37375)
Номер опубликования: 0001201505270009
Дата опубликования: 27.05.2015
Страница №6 из 9:
Увеличить