Официальное опубликование правовых актов
ОФИЦИАЛЬНОЕ ОПУБЛИКОВАНИЕ
Приказ Министерства культуры Российской Федерации от 01.09.2015 № 2324
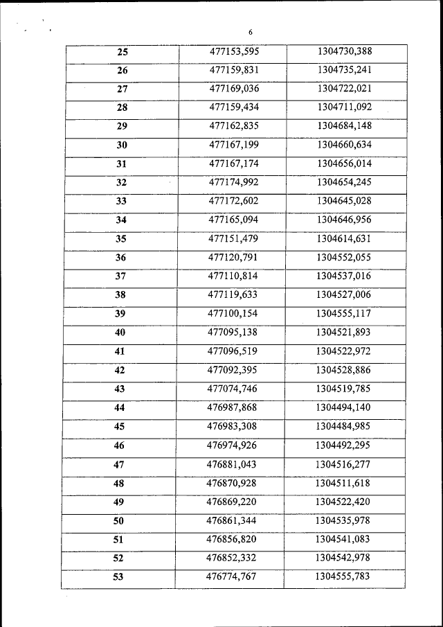
"Об утверждении границ и режима использования территории объекта культурного наследия федерального значения "Ансамбль Казанского Кремля, ХVІ-ХVIII вв.", расположенного по адресу: г. Казань, Республика Татарстан"
(Зарегистрирован 22.09.2015 № 38950)
Номер опубликования: 0001201509240017
Дата опубликования: 24.09.2015
Страница №6 из 9:
Увеличить