Официальное опубликование правовых актов
ОФИЦИАЛЬНОЕ ОПУБЛИКОВАНИЕ
Приказ Министерства культуры Российской Федерации от 08.09.2015 № 2367
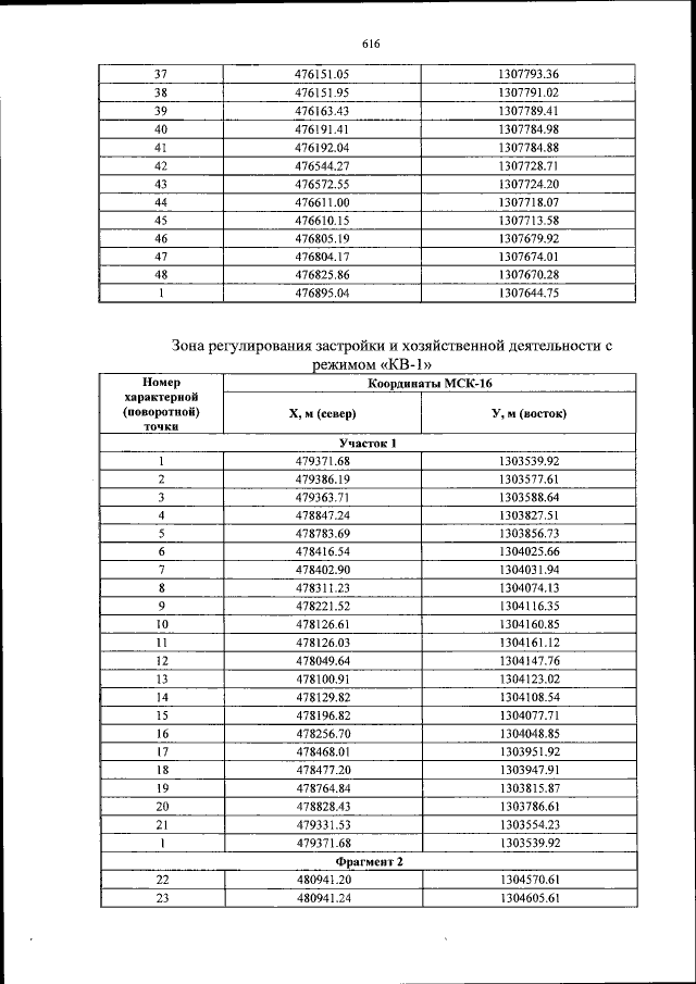
"Об утверждении границ зон охраны объекта культурного наследия федерального значения "Ансамбль Казанского Кремля, ХVІ-ХVІІІ вв.", включенного в Список всемирного наследия, а также требований к режимам использования земель и градостроительным регламентам в границах данных зон"
(Зарегистрирован 22.10.2015 № 39430)
Номер опубликования: 0001201510270038
Дата опубликования: 27.10.2015
Страница №618 из 690:
Увеличить