Официальное опубликование правовых актов
ОФИЦИАЛЬНОЕ ОПУБЛИКОВАНИЕ
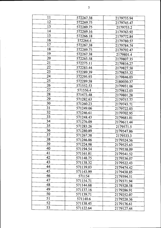
Приказ Министерства культуры Российской Федерации от 14.01.2016 № 31
"Об утверждении границ зон охраны объекта культурного наследия федерального значения "Перынский скит", включенного в Список всемирного наследия, а также режимов использования земель и требований к градостроительным регламентам в границах данных зон"
(Зарегистрирован 19.02.2016 № 41154)
Номер опубликования: 0001201602240021
Дата опубликования: 24.02.2016
Страница №7 из 14:
Увеличить