Официальное опубликование правовых актов
ОФИЦИАЛЬНОЕ ОПУБЛИКОВАНИЕ
Приказ Министерства культуры Российской Федерации от 03.02.2016 № 317
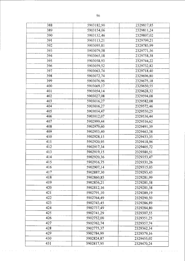
"О включении выявленного объекта культурного наследия - достопримечательное место "Спасское-Лутовиново" (Орловская область, Мценский район) в единый государственный реестр объектов культурного наследия (памятников истории и культуры) народов Российской Федерации в качестве объекта культурного наследия федерального значения и утверждении границ его территории"
(Зарегистрирован 01.03.2016 № 41267)
Номер опубликования: 0001201603040004
Дата опубликования: 04.03.2016
Страница №96 из 105:
Увеличить