Официальное опубликование правовых актов
ОФИЦИАЛЬНОЕ ОПУБЛИКОВАНИЕ
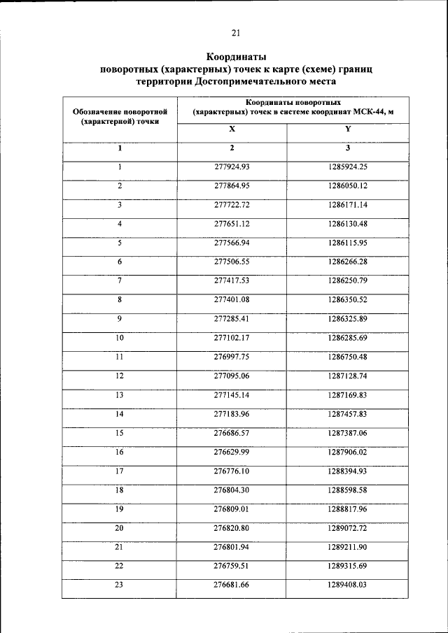
Приказ Министерства культуры Российской Федерации от 03.02.2016 № 316
"О включении выявленного объекта культурного наследия — Достопримечательное место "Щелыково" (Костромская область, Островский район) в единый государственный реестр объектов культурного наследия (памятников истории и культуры) народов Российской Федерации в качестве объекта культурного наследия федерального значения и утверждении границ его территории"
(Зарегистрирован 01.03.2016 № 41285)
Номер опубликования: 0001201603090009
Дата опубликования: 09.03.2016
Страница №21 из 24:
Увеличить