Официальное опубликование правовых актов
ОФИЦИАЛЬНОЕ ОПУБЛИКОВАНИЕ
Приказ Федеральной антимонопольной службы от 03.02.2016 № 95/16
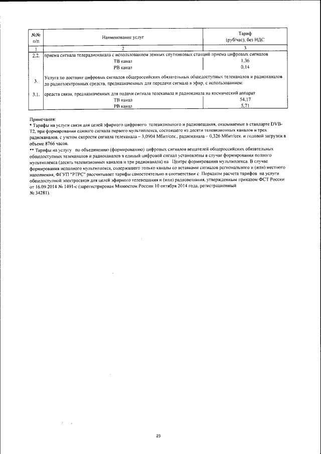
"Об утверждении тарифов на услуги общедоступной электросвязи для целей эфирного цифрового телевизионного и радиовещания, оказываемые ФГУП "Российская телевизионная и радиовещательная сеть", осуществляющим трансляцию, вещателям на территориях Астраханской, Волгоградской областей, Республики Калмыкия, Костромской, Липецкой, Смоленской, Тюменской областей, Республики Бурятия, Ненецкого автономного округа, г. Санкт-Петербург, Ленинградской области, Оренбургской области, Хабаровского края"
(Зарегистрирован 09.03.2016 № 41357)
Номер опубликования: 0001201603140019
Дата опубликования: 14.03.2016
Страница №23 из 25:
Увеличить