Официальное опубликование правовых актов
ОФИЦИАЛЬНОЕ ОПУБЛИКОВАНИЕ
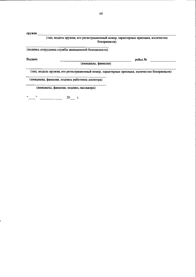
Приказ Министерства транспорта Российской Федерации от 23.07.2015 № 227
"Об утверждении Правил проведения досмотра, дополнительного досмотра, повторного досмотра в целях обеспечения транспортной безопасности"
(Зарегистрирован 24.03.2016 № 41529)
Номер опубликования: 0001201603280013
Дата опубликования: 28.03.2016
Страница №70 из 79:
Увеличить