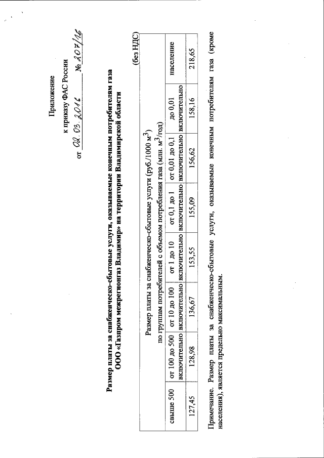
Приказ Федеральной антимонопольной службы от 02.03.2016 № 207/16
"Об утверждении размера платы за снабженческо-сбытовые услуги, оказываемые конечным потребителям газа ООО "Газпром межрегионгаз Владимир" на территории Владимирской области"
(Зарегистрирован 25.03.2016 № 41577)
"Об утверждении размера платы за снабженческо-сбытовые услуги, оказываемые конечным потребителям газа ООО "Газпром межрегионгаз Владимир" на территории Владимирской области"
(Зарегистрирован 25.03.2016 № 41577)
Номер опубликования: 0001201603310021
Дата опубликования:
31.03.2016
