Официальное опубликование правовых актов
ОФИЦИАЛЬНОЕ ОПУБЛИКОВАНИЕ
Приказ Министерства культуры Российской Федерации от 04.03.2016 № 517
"Об утверждении границ и режима использования территории объекта культурного наследия федерального значения "Церковь Рождества Христова на Поле (Кладбищенская), 1382 г.", расположенного по адресу: Новгородская область, город Великий Новгород"
(Зарегистрирован 04.04.2016 № 41651)
Номер опубликования: 0001201604060025
Дата опубликования: 06.04.2016
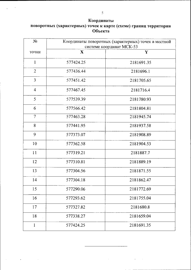
Страница №5 из 7:
Увеличить