Официальное опубликование правовых актов
ОФИЦИАЛЬНОЕ ОПУБЛИКОВАНИЕ
Приказ Министерства образования и науки Российской Федерации от 24.03.2016 № 312
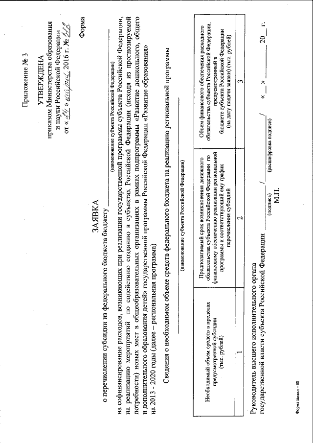
"Об утверждении формы соглашения между Министерством образования и науки Российской Федерации и высшим исполнительным органом государственной власти субъекта Российской Федерации о предоставлении субсидии из федерального бюджета бюджету субъекта Российской Федерации на софинансирование расходов, возникающих при реализации государственной программы субъекта Российской Федерации, на реализацию мероприятий по содействию созданию в субъектах Российской Федерации (исходя из прогнозируемой потребности) новых мест в общеобразовательных организациях в рамках подпрограммы "Развитие дошкольного, общего и дополнительного образования детей" государственной программы Российской Федерации "Развитие образования" на 2013 - 2020 годы, формы отчёта об осуществлении расходов бюджета субъекта Российской Федерации (местных бюджетов), источником финансового обеспечения которых является указанная субсидия, а также о достигнутых значениях показателей результативности использования этой субсидии и формы заявки о перечислении указанной субсидии"
(Зарегистрирован 05.04.2016 № 41682)
Номер опубликования: 0001201604080013
Дата опубликования: 08.04.2016
Страница №20 из 20:
Увеличить