Официальное опубликование правовых актов
ОФИЦИАЛЬНОЕ ОПУБЛИКОВАНИЕ
Приказ Министерства культуры Российской Федерации от 16.03.2016 № 612
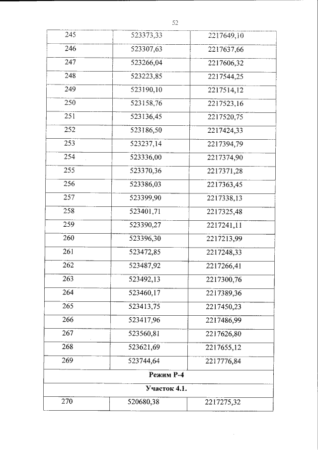
"Об утверждении требований к осуществлению деятельности и градостроительным регламентам в границах территории объекта культурного наследия федерального значения — достопримечательное место "Усадьба Абрамцево и ее окрестности", расположенного в городском поселении Хотьковский Сергиево-Посадского муниципального района Московской области"
(Зарегистрирован 18.04.2016 № 41836)
Номер опубликования: 0001201604220008
Дата опубликования: 22.04.2016
Страница №52 из 79:
Увеличить