Официальное опубликование правовых актов
ОФИЦИАЛЬНОЕ ОПУБЛИКОВАНИЕ
Приказ Министерства культуры Российской Федерации от 26.04.2016 № 915
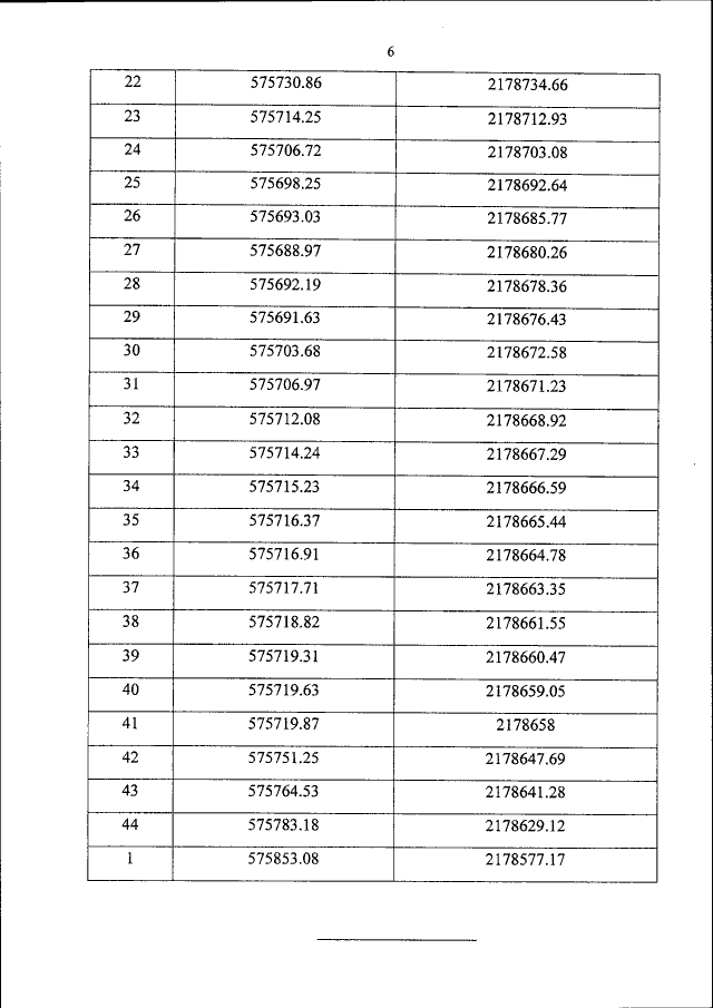
"Об утверждении границ и режима использования территории объекта культурного наследия федерального значения "Церковь Петра и Павла на Синичьей горе", XII в., расположенного по адресу: Новгородская область, город Великий Новгород, Петровское кладбище"
(Зарегистрирован 26.05.2016 № 42303)
Номер опубликования: 0001201605310029
Дата опубликования: 31.05.2016
Страница №6 из 9:
Увеличить