Официальное опубликование правовых актов
ОФИЦИАЛЬНОЕ ОПУБЛИКОВАНИЕ
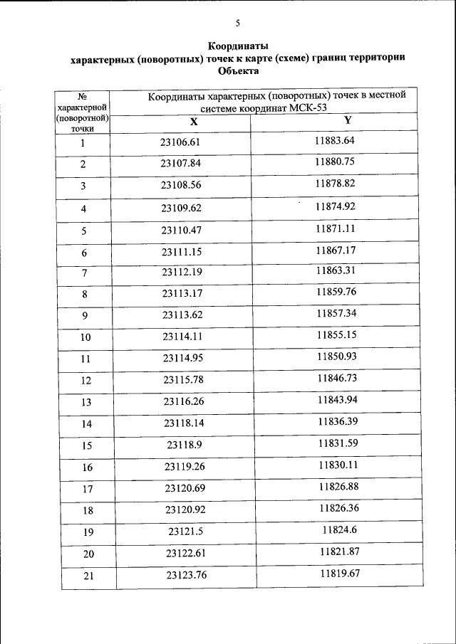
Приказ Министерства культуры Российской Федерации от 10.05.2016 № 1012
"Об утверждении границ и режима использования территории объекта культурного наследия федерального значения "Церковь Благовещения на Рюриковом городище (руины)", ХII - ХV вв., расположенного но адресу: Новгородская область, Новгородский район"
(Зарегистрирован 17.06.2016 № 42559)
Номер опубликования: 0001201606200007
Дата опубликования: 20.06.2016
Страница №5 из 9:
Увеличить