Официальное опубликование правовых актов
ОФИЦИАЛЬНОЕ ОПУБЛИКОВАНИЕ
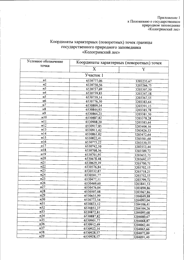
Приказ Министерства природных ресурсов и экологии Российской Федерации от 21.03.2016 № 84
"Об утверждении Положения о государственном природном заповеднике "Кологривский лес"
(Зарегистрирован 21.06.2016 № 42585)
Номер опубликования: 0001201606230007
Дата опубликования: 23.06.2016
Страница №9 из 24:
Увеличить