Официальное опубликование правовых актов
ОФИЦИАЛЬНОЕ ОПУБЛИКОВАНИЕ
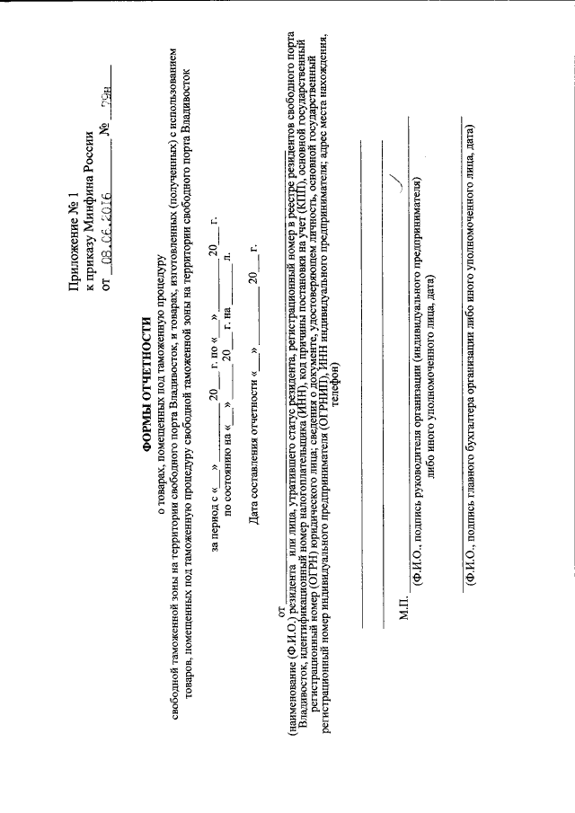
Приказ Министерства финансов Российской Федерации от 08.06.2016 № 79н
"Об установлении форм отчетности о товарах, помещенных под таможенную процедуру свободной таможенной зоны на территории свободного порта Владивосток, и товарах, изготовленных (полученных) с использованием товаров, помещенных под таможенную процедуру свободной таможенной зоны на территории свободного порта Владивосток, порядка заполнения этих форм и порядка и сроков представления в таможенный орган отчетности о таких товарах"
(Зарегистрирован 23.06.2016 № 42623)
Номер опубликования: 0001201606270017
Дата опубликования: 27.06.2016
Страница №3 из 23:
Увеличить