Официальное опубликование правовых актов
ОФИЦИАЛЬНОЕ ОПУБЛИКОВАНИЕ
Приказ Министерства культуры Российской Федерации от 04.07.2016 № 1504
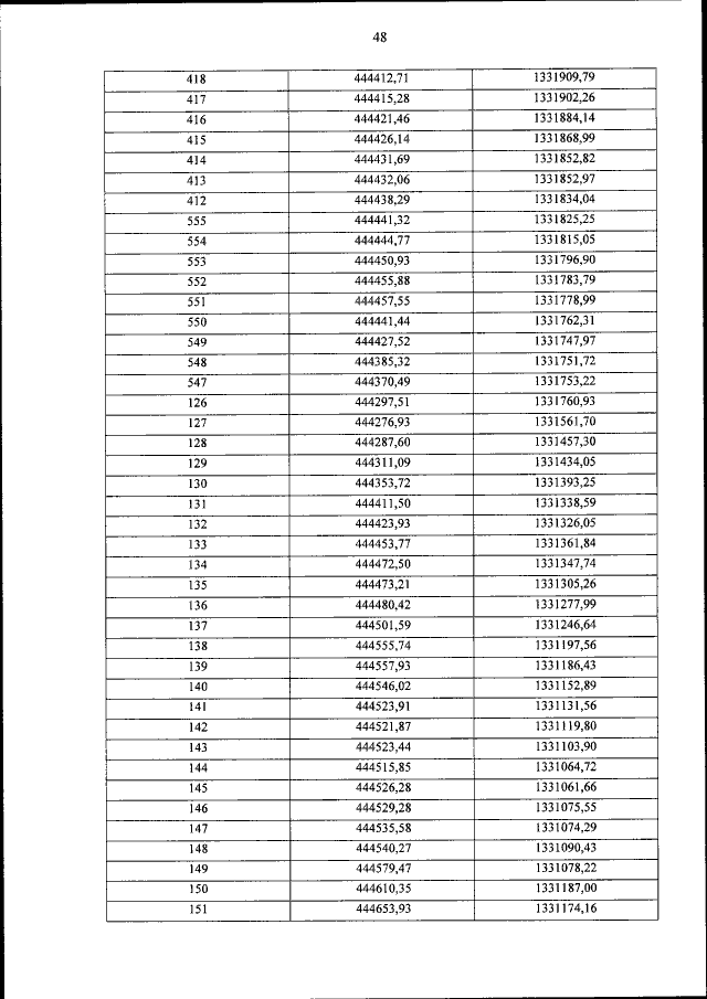
"Об утверждении требований к осуществлению деятельности и градостроительным регламентам в границах территории объекта культурного наследия федерального значения - достопримечательное место "Древний город Переяславль-Рязанский и его оборонительные и архитектурные сооружения ХII-ХIХ вв."‚ расположенного по адресу: Рязанская область, г. Рязань"
(Зарегистрирован 27.07.2016 № 43007)
Номер опубликования: 0001201607290018
Дата опубликования: 29.07.2016
Страница №48 из 54:
Увеличить