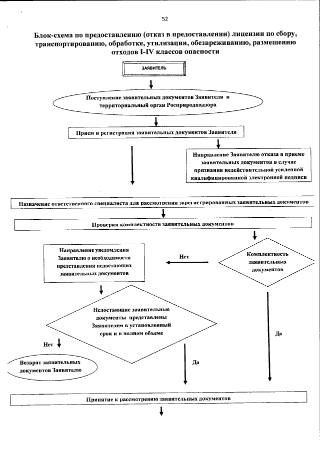
Приказ Министерства природных ресурсов и экологии Российской Федерации от 01.07.2016 № 379
"Об утверждении Административного регламента Федеральной службы по надзору в сфере природопользования по предоставлению государственной услуги по лицензированию деятельности по сбору, транспортированию, обработке, утилизации, обезвреживанию, размещению отходов I-IV классов опасности"
(Зарегистрирован 28.07.2016 № 43019)
"Об утверждении Административного регламента Федеральной службы по надзору в сфере природопользования по предоставлению государственной услуги по лицензированию деятельности по сбору, транспортированию, обработке, утилизации, обезвреживанию, размещению отходов I-IV классов опасности"
(Зарегистрирован 28.07.2016 № 43019)
Номер опубликования: 0001201607290020
Дата опубликования:
29.07.2016
