Официальное опубликование правовых актов
ОФИЦИАЛЬНОЕ ОПУБЛИКОВАНИЕ
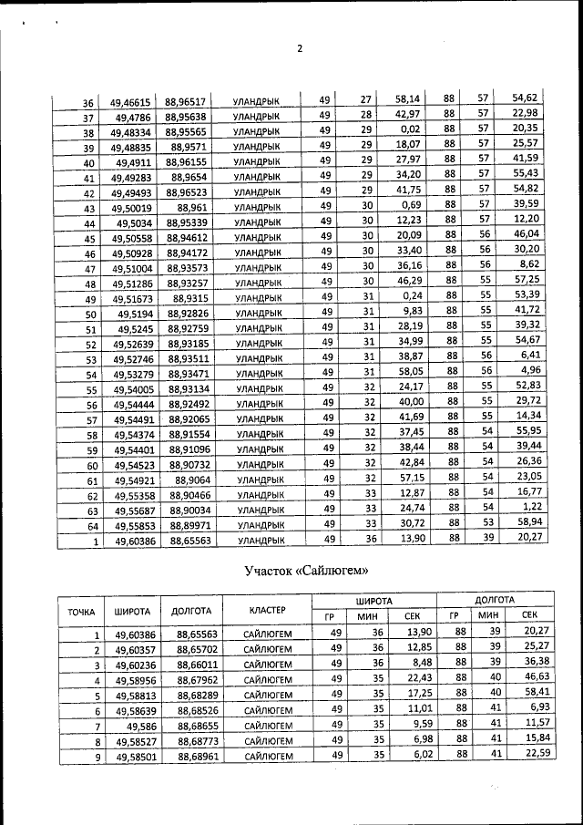
Приказ Министерства природных ресурсов и экологии Российской Федерации от 06.04.2016 № 194
"Об утверждении Положения о национальном парке "Сайлюгемский"
(Зарегистрирован 12.08.2016 № 43219)
Номер опубликования: 0001201608120036
Дата опубликования: 12.08.2016
Страница №13 из 85:
Увеличить