Официальное опубликование правовых актов
ОФИЦИАЛЬНОЕ ОПУБЛИКОВАНИЕ
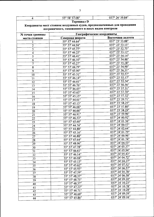
Приказ Министерства транспорта Российской Федерации от 26.07.2016 № 208
"Об утверждении пределов воздушного грузо-пассажирского постоянного многостороннего пункта пропуска через государственную границу Российской Федерации в Международном аэропорту Москва (Шереметьево) (Московская область)"
(Зарегистрирован 16.08.2016 № 43263)
Номер опубликования: 0001201608170023
Дата опубликования: 17.08.2016
Страница №5 из 24:
Увеличить