Официальное опубликование правовых актов
ОФИЦИАЛЬНОЕ ОПУБЛИКОВАНИЕ
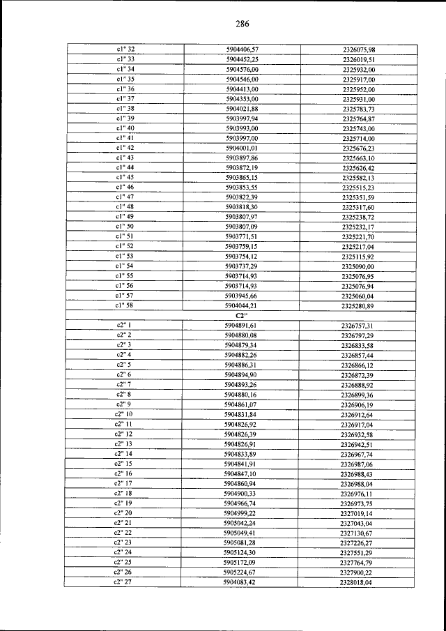
Приказ Министерства культуры Российской Федерации от 02.08.2016 № 1723
"Об утверждении требований к осуществлению деятельности и градостроительным регламентам в границах территории объекта культурного наследия федерального значения - достопримечательное место "Спасское-Лутовиново", расположенного в Мценском районе Орловской области"
(Зарегистрирован 31.08.2016 № 43512)
Номер опубликования: 0001201609020003
Дата опубликования: 02.09.2016
Страница №286 из 303:
Увеличить