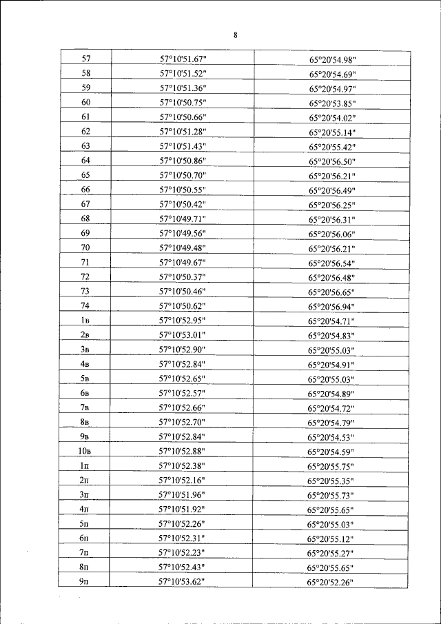
Приказ Министерства транспорта Российской Федерации от 16.08.2016 № 242
"Об утверждении пределов воздушного грузо-пассажирского постоянного многостороннего пункта пропуска через государственную границу Российской Федерации в международном аэропорту Тюмень (Рощино) (Тюменская область)"
(Зарегистрирован 13.09.2016 № 43641)
"Об утверждении пределов воздушного грузо-пассажирского постоянного многостороннего пункта пропуска через государственную границу Российской Федерации в международном аэропорту Тюмень (Рощино) (Тюменская область)"
(Зарегистрирован 13.09.2016 № 43641)
Номер опубликования: 0001201609140017
Дата опубликования:
14.09.2016
