Официальное опубликование правовых актов
ОФИЦИАЛЬНОЕ ОПУБЛИКОВАНИЕ
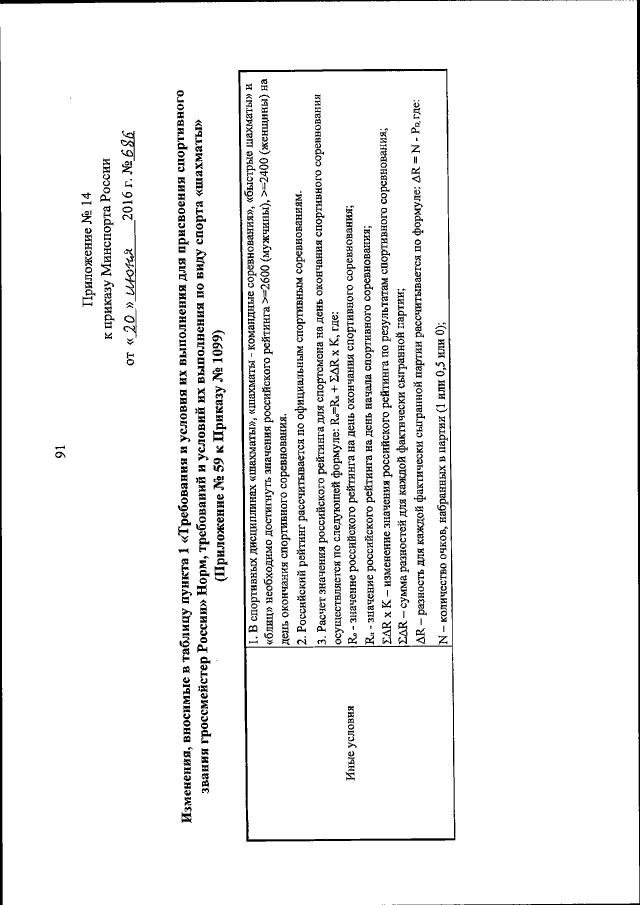
Приказ Министерства спорта Российской Федерации от 20.06.2016 № 686
"О внесении изменений в Единую всероссийскую спортивную классификацию"
(Зарегистрирован 23.09.2016 № 43791)
Номер опубликования: 0001201609270018
Дата опубликования: 27.09.2016
Страница №91 из 123:
Увеличить