Официальное опубликование правовых актов
ОФИЦИАЛЬНОЕ ОПУБЛИКОВАНИЕ
Приказ Министерства культуры Российской Федерации от 01.09.2016 № 1995
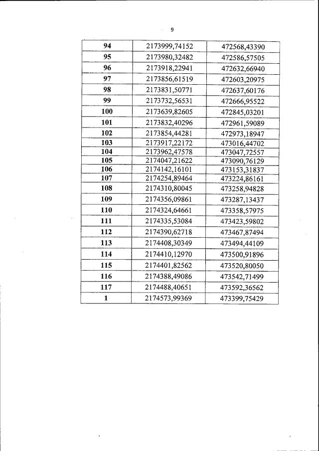
"О включении выявленных объектов культурного наследия в единый государственный реестр объектов культурного наследия (памятников истории и культуры) народов Российской Федерации в качестве объектов культурного наследия федерального значения в составе объекта культурного наследия федерального значения "Ансамбль усадьбы "Архангельское", XVII-начало XX века (Московская область, Красногорский район, пос. Архангельское) и утверждении границ их территории"
(Зарегистрирован 17.10.2016 № 44060)
Номер опубликования: 0001201610180023
Дата опубликования: 18.10.2016
Страница №14 из 14:
Увеличить