Официальное опубликование правовых актов
ОФИЦИАЛЬНОЕ ОПУБЛИКОВАНИЕ
Приказ Министерства культуры Российской Федерации от 30.09.2016 № 2221
"Об утверждении границ, требований к осуществлению деятельности и градостроительным регламентам в границах территории объекта культурного наследия федерального значения - достопримечательное место "Поленово", расположенного по адресу: Тульская область Заокский район и Калужская область Тарусский район"
(Зарегистрирован 18.10.2016 № 44071)
Номер опубликования: 0001201610190022
Дата опубликования: 19.10.2016
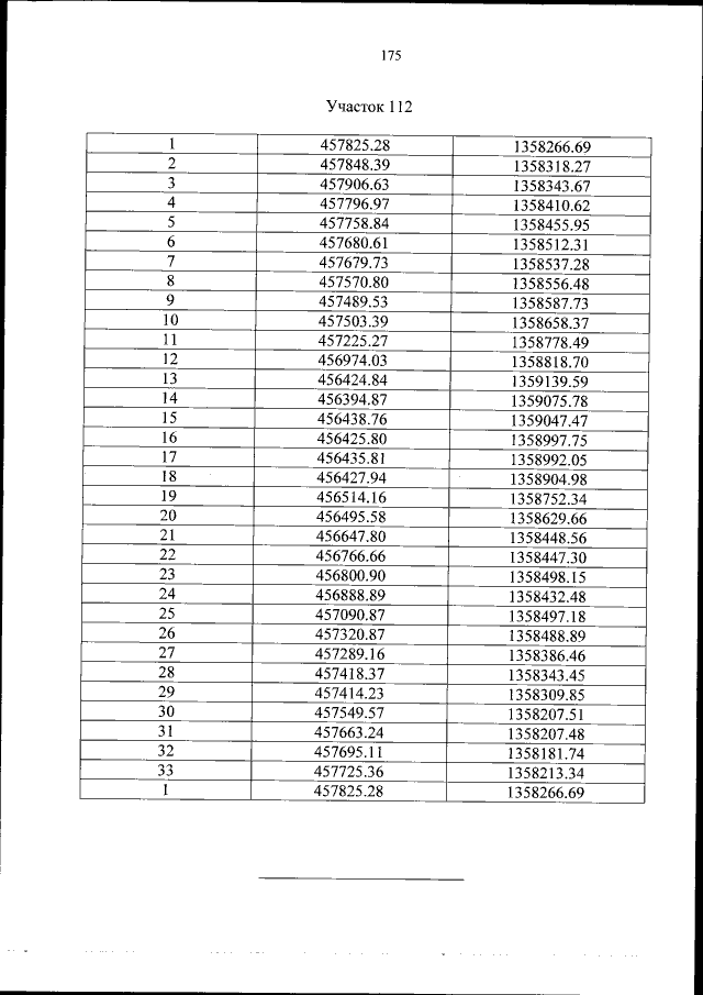
Страница №175 из 175:
Увеличить