Официальное опубликование правовых актов
ОФИЦИАЛЬНОЕ ОПУБЛИКОВАНИЕ
Приказ Министерства культуры Российской Федерации от 22.11.2016 № 2555
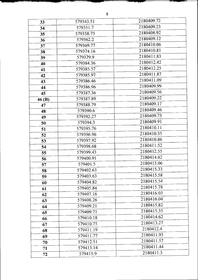
"Об утверждении границ и режима использования территории объекта культурного наследия федерального значения "Ансамбль Антониева монастыря и Новгородской духовной семинарии, ХII-XХ века", расположенного по адресу: Новгородская область, г. Великий Новгород, Антоново"
(Зарегистрирован 30.11.2016 № 44493)
Номер опубликования: 0001201612010042
Дата опубликования: 01.12.2016
Страница №8 из 13:
Увеличить