Официальное опубликование правовых актов
ОФИЦИАЛЬНОЕ ОПУБЛИКОВАНИЕ
Приказ Министерства культуры Российской Федерации от 05.12.2016 № 2656
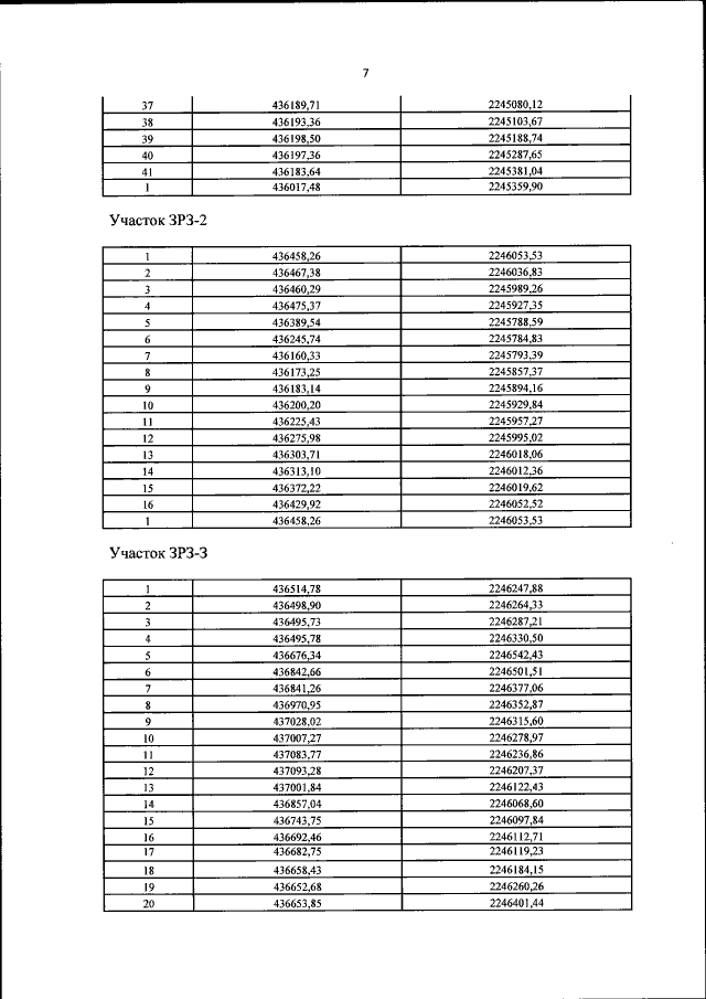
"О внесении изменений в приложение № 1 к приказу Министерства культуры Российской Федерации от 23 декабря 2015 г. № 3206 "Об утверждении границ зон охраны объекта культурного наследия федерального значения "Ансамбль Ферапонтова монастыря, конец ХV-ХVII век, конец ХVIII века, ХIХ век, начало ХХ века", включенного в Список всемирного наследия, а также режимов использования земель и требований к градостроительным регламентам в границах данных зон"
(Зарегистрирован 26.12.2016 № 44933)
Номер опубликования: 0001201612270014
Дата опубликования: 27.12.2016
Страница №9 из 54:
Увеличить