Официальное опубликование правовых актов
ОФИЦИАЛЬНОЕ ОПУБЛИКОВАНИЕ
Приказ Министерства культуры Российской Федерации от 05.12.2016 № 2655
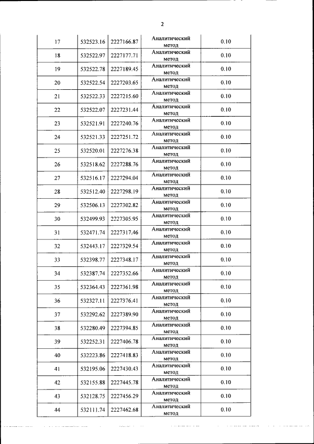
"О внесении изменений в приложение № 1 к приказу Министерства культуры Российской Федерации от 29 апреля 2015 г. № 1341 "Об утверждении границ зон охраны объекта культурного наследия федерального значения "Ансамбль Троице-Сергиевской лавры, 1540-1550 гг."‚ включенного в Список всемирного наследия, а также требований к режимам использования земель и градостроительным регламентам в границах данных зон"
(Зарегистрирован 26.12.2016 № 44934)
Номер опубликования: 0001201612270037
Дата опубликования: 27.12.2016
Страница №4 из 184:
Увеличить