Официальное опубликование правовых актов
ОФИЦИАЛЬНОЕ ОПУБЛИКОВАНИЕ
Приказ Министерства энергетики Российской Федерации от 29.11.2016 № 1256
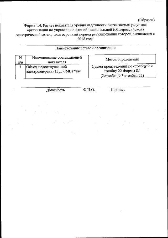
"Об утверждении Методических указаний по расчету уровня надежности и качества поставляемых товаров и оказываемых услуг для организации по управлению единой национальной (общероссийской) электрической сетью и территориальных сетевых организаций"
(Зарегистрирован 27.12.2016 № 44983)
Номер опубликования: 0001201612280038
Дата опубликования: 28.12.2016
Страница №59 из 130:
Увеличить