Официальное опубликование правовых актов
ОФИЦИАЛЬНОЕ ОПУБЛИКОВАНИЕ
Приказ Федеральной антимонопольной службы от 23.12.2016 № 1836/16
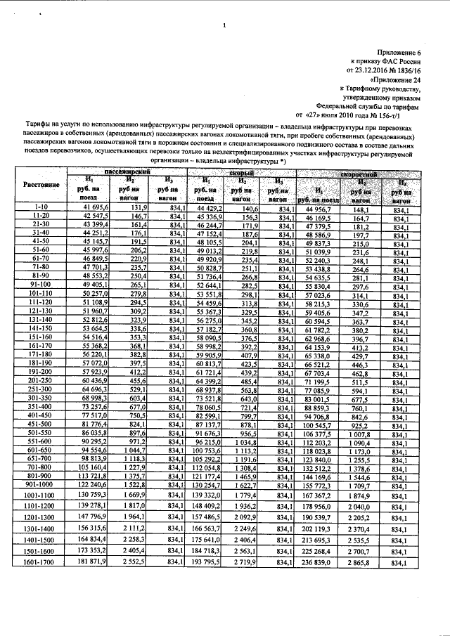
"О внесении изменений и дополнений в приказ ФСТ России от 27 июля 2010 г. № 156-т/1 "Об утверждении тарифов, сборов и платы на работы (услуги), связанные с перевозкой пассажиров, багажа и грузобагажа железнодорожным транспортом общего пользования во внутригосударственном сообщении и пробегом пассажирских вагонов, выполняемые в составе дальних поездов ОАО "Российские железные дороги", ОАО "Федеральная пассажирская компания", ОАО "Пассажирская компания "Сахалин", ОАО "АК "Железные дороги Якутии" и на работы (услуги) по использованию инфраструктуры железнодорожного транспорта общего пользования, оказываемые ОАО "Российские железные дороги", ОАО "АК "Железные дороги Якутии", при данных перевозках, цен (тарифов) на работы (услуги) по использованию инфраструктуры железнодорожного транспорта общего пользования, оказываемые ОАО "Российские железные дороги" при осуществлении перевозок пассажиров, багажа и грузобагажа железнодорожным транспортом общего пользования в пригородном сообщении в субъектах Российской Федерации, а также правил их применения (Тарифное руководство)"
(Зарегистрирован 28.12.2016 № 45009)
Номер опубликования: 0001201612290030
Дата опубликования: 29.12.2016
Страница №14 из 19:
Увеличить