Официальное опубликование правовых актов
ОФИЦИАЛЬНОЕ ОПУБЛИКОВАНИЕ
Приказ Министерства транспорта Российской Федерации от 16.12.2016 № 386
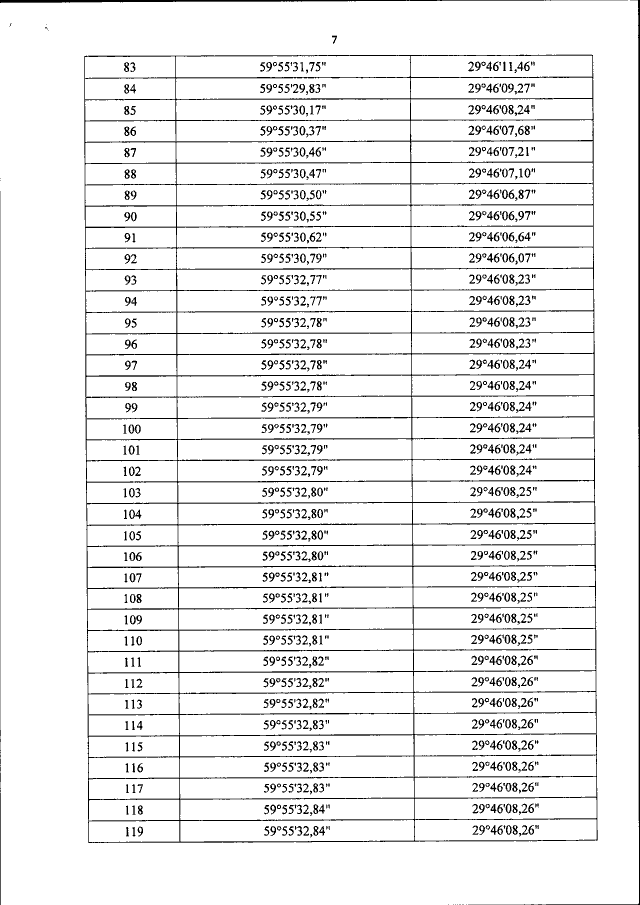
"О внесении изменений в пределы морского грузо-пассажирского постоянного многостороннего пункта пропуска через государственную границу Российской Федерации в морском порту Большой порт Санкт-Петербург, утвержденные приказом Министерства транспорта Российской Федерации от 16 августа 2016 г. № 240 "Об открытии морского грузо-пассажирского постоянного многостороннего пункта пропуска через государственную границу Российской Федерации в морском порту Большой порт Санкт-Петербург"
(Зарегистрирован 13.01.2017 № 45197)
Номер опубликования: 0001201701130015
Дата опубликования: 13.01.2017
Страница №8 из 12:
Увеличить