Официальное опубликование правовых актов
ОФИЦИАЛЬНОЕ ОПУБЛИКОВАНИЕ
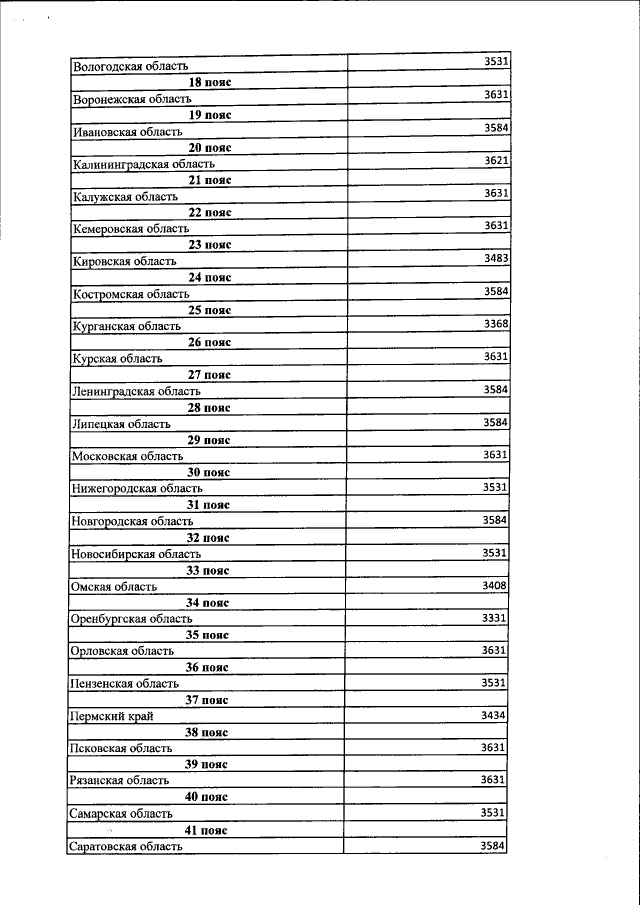
Приказ Федеральной антимонопольной службы от 26.12.2016 № 1870/16
"Об утверждении оптовых цен на газ, добываемый ПАО "Газпром" и его аффилированными лицами, предназначенный для последующей реализации населению"
(Зарегистрирован 19.01.2017 № 45299)
Номер опубликования: 0001201701200009
Дата опубликования: 20.01.2017
Страница №4 из 6:
Увеличить