Официальное опубликование правовых актов
ОФИЦИАЛЬНОЕ ОПУБЛИКОВАНИЕ
Приказ Министерства транспорта Российской Федерации от 19.12.2016 № 394
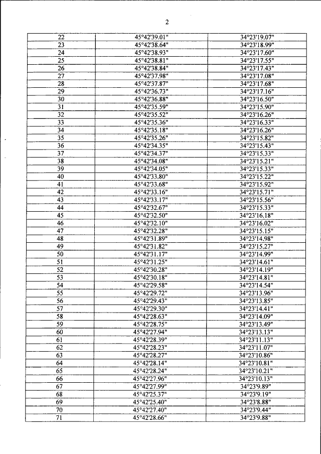
"Об утверждении пределов железнодорожного грузо-пассажирского постоянного многостороннего пункта пропуска через государственную границу Российской Федерации Джанкой (Республика Крым)"
(Зарегистрирован 20.01.2017 № 45320)
Номер опубликования: 0001201701230012
Дата опубликования: 23.01.2017
Страница №3 из 4:
Увеличить