Официальное опубликование правовых актов
ОФИЦИАЛЬНОЕ ОПУБЛИКОВАНИЕ
Приказ Министерства транспорта Российской Федерации от 23.01.2017 № 23
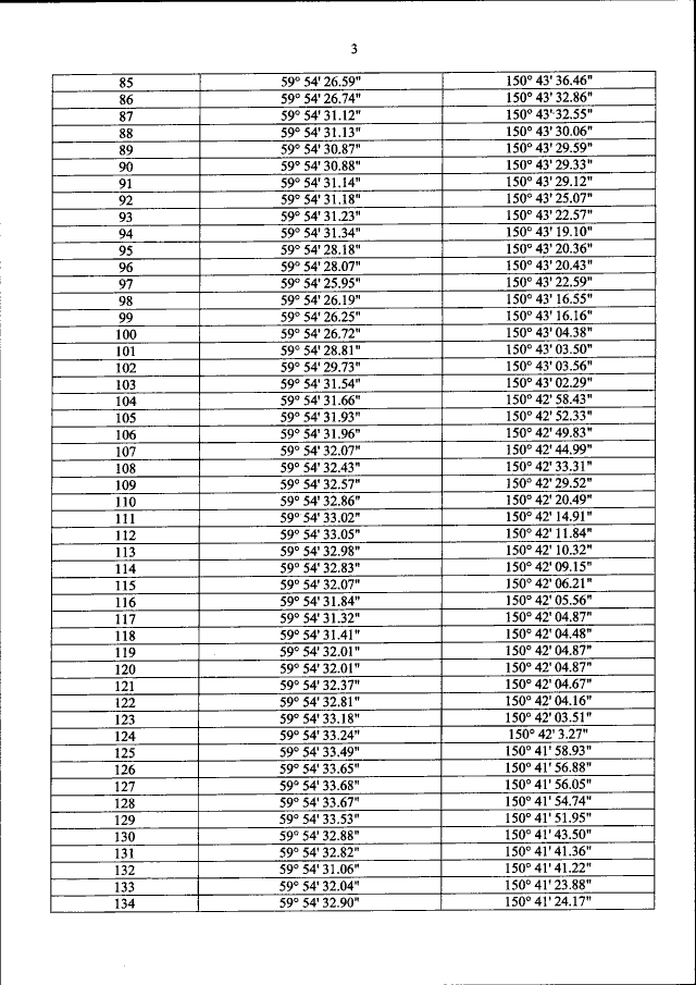
"Об утверждении пределов воздушного грузо-пассажирского работающего на нерегулярной основе многостороннего пункта пропуска через государственную границу Российской Федерации в международном аэропорту Магадан (Сокол) (Магаданская область)"
(Зарегистрирован 15.02.2017 № 45653)
Номер опубликования: 0001201702160016
Дата опубликования: 16.02.2017
Страница №4 из 8:
Увеличить