Официальное опубликование правовых актов
ОФИЦИАЛЬНОЕ ОПУБЛИКОВАНИЕ
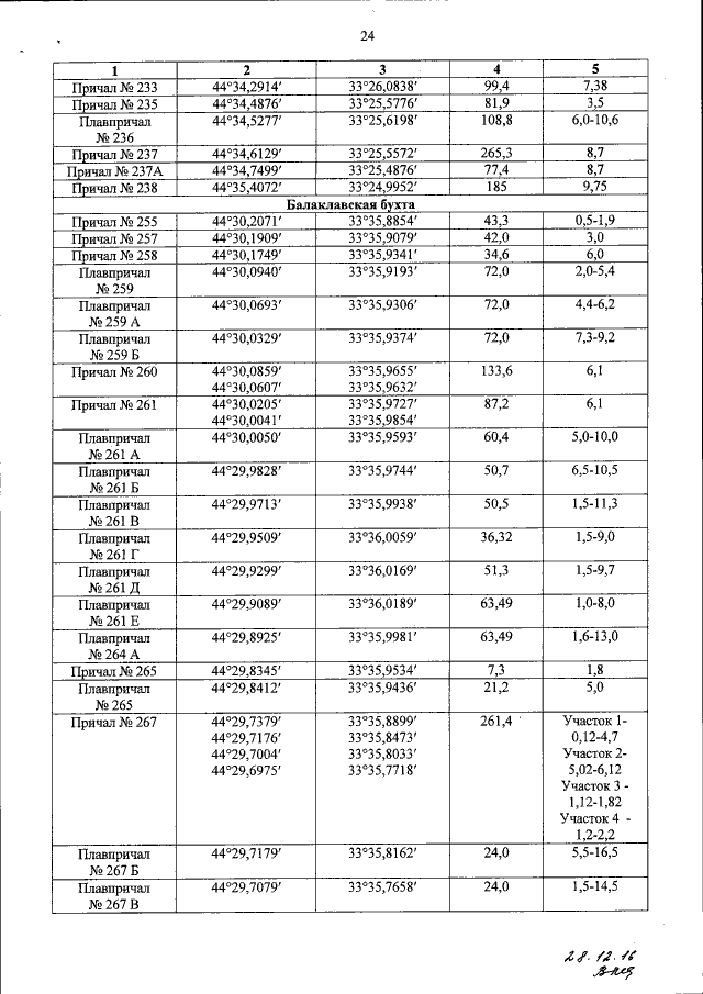
Приказ Министерства транспорта Российской Федерации от 24.01.2017 № 26
"Об утверждении Обязательных постановлений в морском порту Севастополь"
(Зарегистрирован 17.02.2017 № 45696)
Номер опубликования: 0001201702200022
Дата опубликования: 20.02.2017
Страница №25 из 25:
Увеличить