Приказ Министерства здравоохранения Российской Федерации от 26.12.2016 № 998н
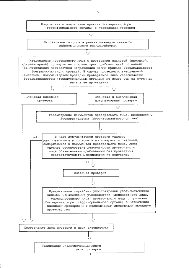
"Об утверждении Административного регламента Федеральной службы по надзору в сфере здравоохранения по исполнению государственной функции по осуществлению федерального государственного надзора в сфере обращения лекарственных средств посредством организации и проведения проверок соблюдения субъектами обращения лекарственных средств требований к доклиническим исследованиям лекарственных средств, клиническим исследованиям лекарственных препаратов, хранению, перевозке, отпуску, реализации лекарственных средств, применению лекарственных препаратов, уничтожению лекарственных средств"
(Зарегистрирован 17.03.2017 № 46014)
"Об утверждении Административного регламента Федеральной службы по надзору в сфере здравоохранения по исполнению государственной функции по осуществлению федерального государственного надзора в сфере обращения лекарственных средств посредством организации и проведения проверок соблюдения субъектами обращения лекарственных средств требований к доклиническим исследованиям лекарственных средств, клиническим исследованиям лекарственных препаратов, хранению, перевозке, отпуску, реализации лекарственных средств, применению лекарственных препаратов, уничтожению лекарственных средств"
(Зарегистрирован 17.03.2017 № 46014)
Номер опубликования: 0001201703200048
Дата опубликования:
20.03.2017
