Официальное опубликование правовых актов
ОФИЦИАЛЬНОЕ ОПУБЛИКОВАНИЕ
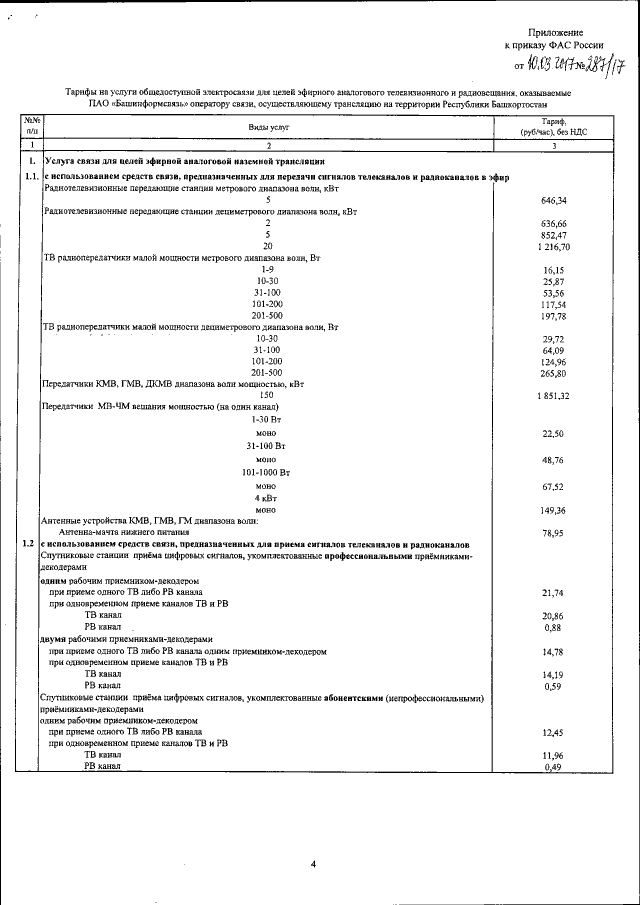
Приказ Федеральной антимонопольной службы от 10.03.2017 № 287/17
"Об утверждении тарифов на услуги общедоступной электросвязи для целей эфирного аналогового телевизионного и радиовещания, оказываемые ПАО "Башинформсвязь" оператору связи, осуществляющему трансляцию на территории Республики Башкортостан"
(Зарегистрирован 10.04.2017 № 46309)
Номер опубликования: 0001201704110022
Дата опубликования: 11.04.2017
Страница №4 из 5:
Увеличить