Официальное опубликование правовых актов
ОФИЦИАЛЬНОЕ ОПУБЛИКОВАНИЕ
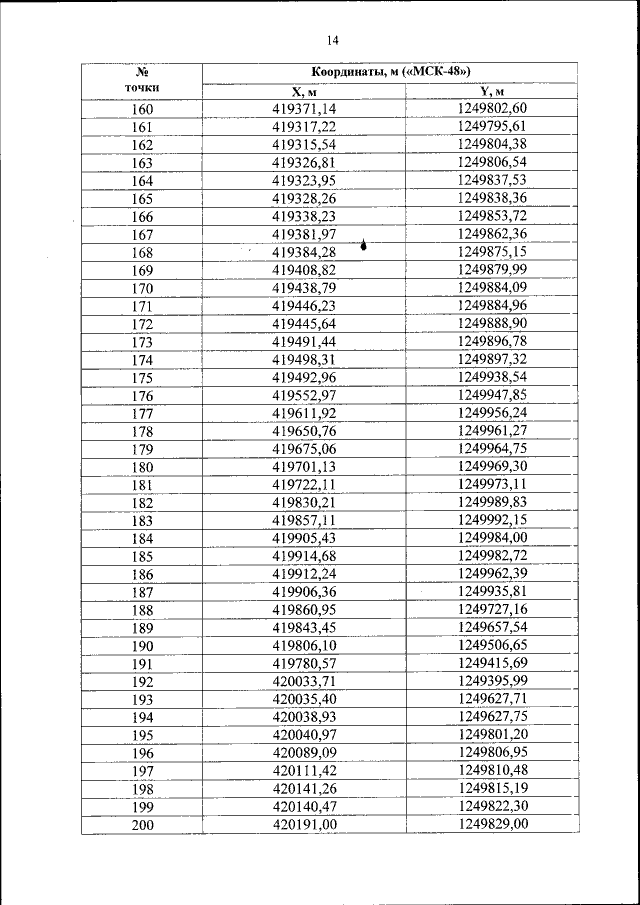
Приказ Министерства культуры Российской Федерации от 14.02.2017 № 175
"Об утверждении предмета охраны, границ территории и требований к градостроительным регламентам в границах территории исторического поселения федерального значения город Елец Липецкой области"
(Зарегистрирован 10.05.2017 № 46642)
Номер опубликования: 0001201705120001
Дата опубликования: 12.05.2017
Страница №14 из 341:
Увеличить