Официальное опубликование правовых актов
ОФИЦИАЛЬНОЕ ОПУБЛИКОВАНИЕ
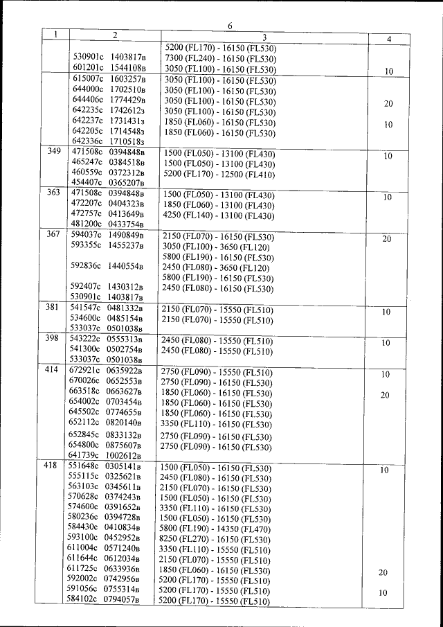
Приказ Министерства транспорта Российской Федерации от 18.04.2017 № 158
"О внесении изменений в маршруты обслуживания воздушного движения, утвержденные приказом Министерства транспорта Российской Федерации от 16 сентября 2015 г. № 274"
(Зарегистрирован 15.05.2017 № 46716)
Номер опубликования: 0001201705160014
Дата опубликования: 16.05.2017
Страница №6 из 15:
Увеличить