Официальное опубликование правовых актов
ОФИЦИАЛЬНОЕ ОПУБЛИКОВАНИЕ
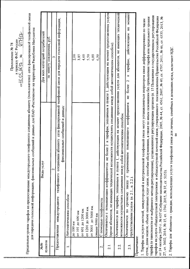
Приказ Федеральной антимонопольной службы от 10.05.2017 № 617/17
"Об утверждении тарифов на услуги местной, внутризоновой и междугородной телефонной связи, на услугу по передаче внутренней телеграммы, предоставляемые ПАО "Ростелеком"
(Зарегистрирован 01.06.2017 № 46922)
Номер опубликования: 0001201706020041
Дата опубликования: 02.06.2017
Страница №84 из 103:
Увеличить