Официальное опубликование правовых актов
ОФИЦИАЛЬНОЕ ОПУБЛИКОВАНИЕ
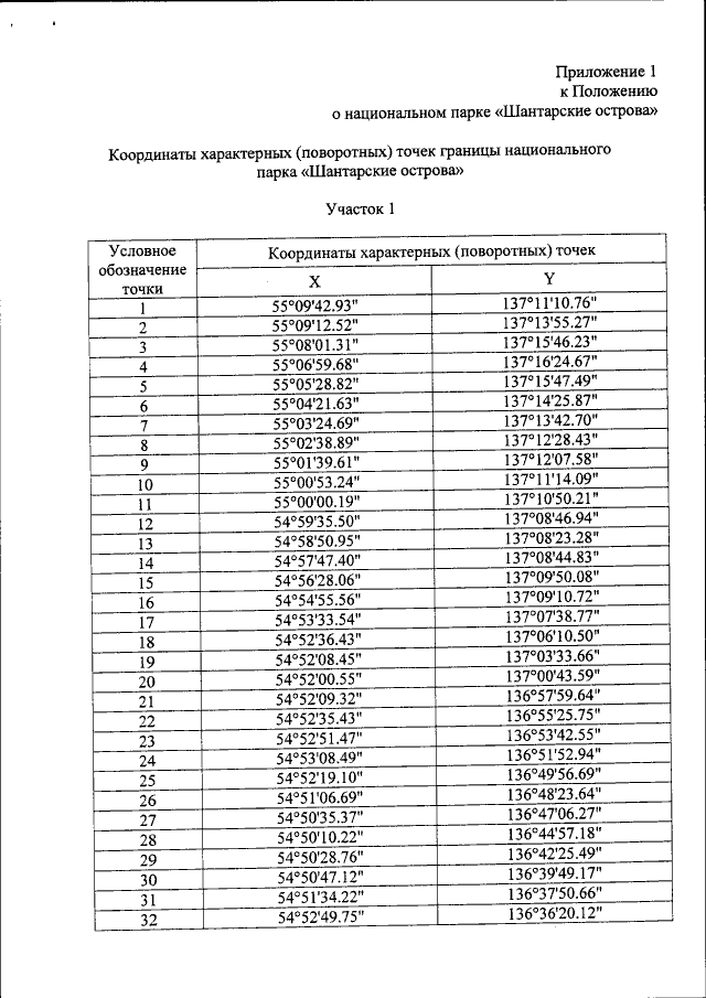
Приказ Министерства природных ресурсов и экологии Российской Федерации от 18.05.2017 № 244
"Об утверждении Положения о национальном парке "Шантарские острова"
(Зарегистрирован 07.06.2017 № 46985)
Номер опубликования: 0001201706090002
Дата опубликования: 09.06.2017
Страница №11 из 26:
Увеличить