Официальное опубликование правовых актов
ОФИЦИАЛЬНОЕ ОПУБЛИКОВАНИЕ
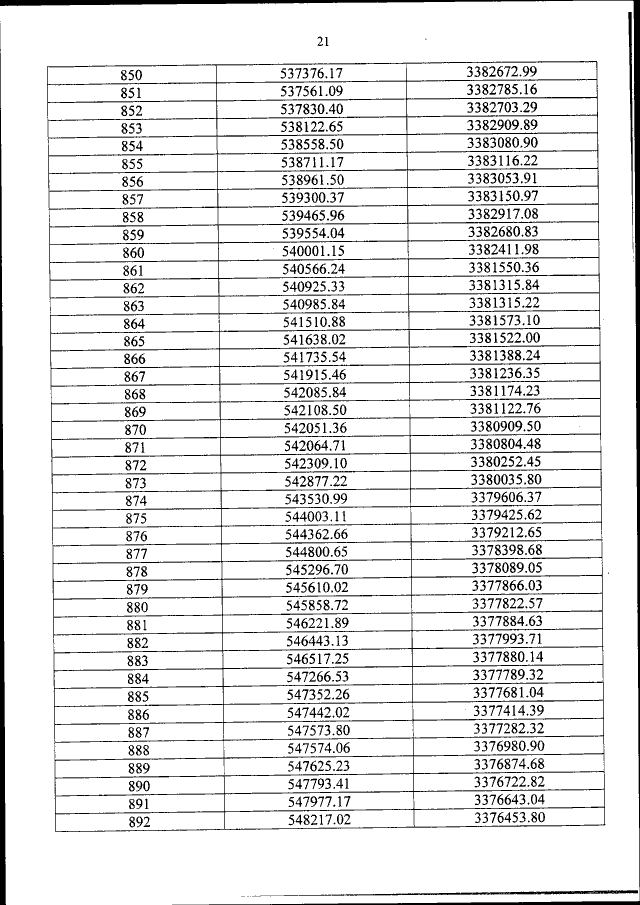
Приказ Министерства природных ресурсов и экологии Российской Федерации от 30.05.2017 № 265
"Об утверждении Положения о национальном парке "Анюйский"
(Зарегистрирован 23.06.2017 № 47154)
Номер опубликования: 0001201706270019
Дата опубликования: 27.06.2017
Страница №34 из 215:
Увеличить