Официальное опубликование правовых актов
ОФИЦИАЛЬНОЕ ОПУБЛИКОВАНИЕ
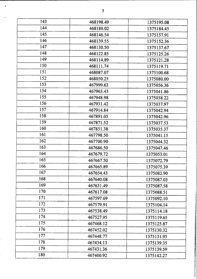
Приказ Министерства природных ресурсов и экологии Российской Федерации от 27.06.2017 № 320
"Об утверждении Положения о национальном парке "Мещерский"
(Зарегистрирован 25.07.2017 № 47522)
Номер опубликования: 0001201707260018
Дата опубликования: 26.07.2017
Страница №16 из 64:
Увеличить