Официальное опубликование правовых актов
ОФИЦИАЛЬНОЕ ОПУБЛИКОВАНИЕ
Приказ Министерства природных ресурсов и экологии Российской Федерации от 27.06.2017 № 321
"Об утверждении Положения о национальном парке "Смольный"
(Зарегистрирован 25.07.2017 № 47525)
Номер опубликования: 0001201707270002
Дата опубликования: 27.07.2017
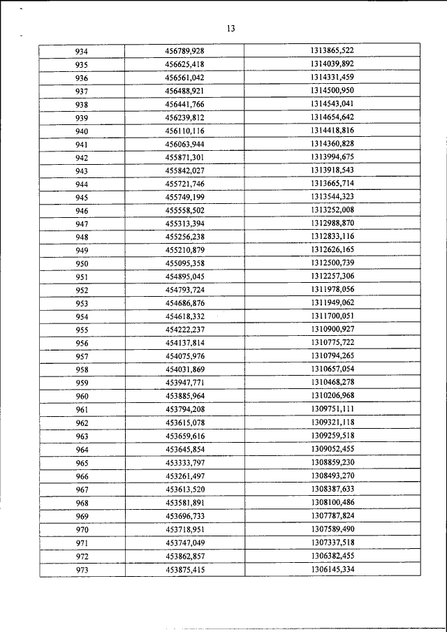
Страница №25 из 37:
Увеличить