Официальное опубликование правовых актов
ОФИЦИАЛЬНОЕ ОПУБЛИКОВАНИЕ
Приказ Министерства природных ресурсов и экологии Российской Федерации от 27.06.2017 № 322
"Об утверждении Положения о национальном парке "Нечкинский"
(Зарегистрирован 25.07.2017 № 47524)
Номер опубликования: 0001201707270003
Дата опубликования: 27.07.2017
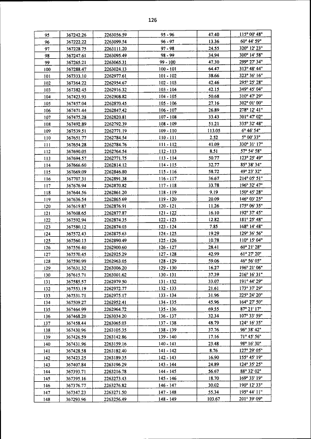
Страница №137 из 149:
Увеличить