Официальное опубликование правовых актов
ОФИЦИАЛЬНОЕ ОПУБЛИКОВАНИЕ
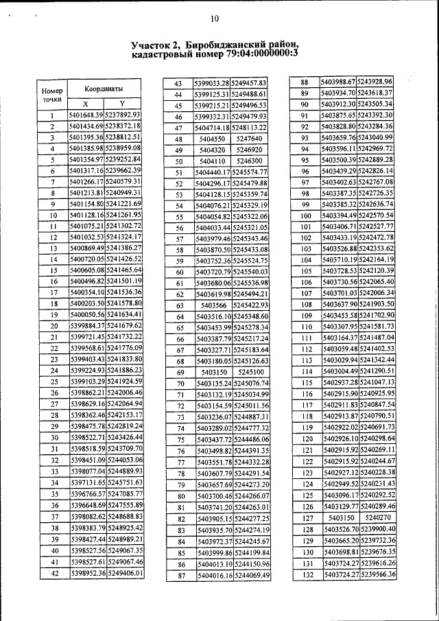
Приказ Министерства природных ресурсов и экологии Российской Федерации от 13.07.2017 № 409
"Об утверждении Положения о государственном природном заповеднике "Бастак"
(Зарегистрирован 04.08.2017 № 47672)
Номер опубликования: 0001201708080003
Дата опубликования: 08.08.2017
Страница №19 из 50:
Увеличить