Официальное опубликование правовых актов
ОФИЦИАЛЬНОЕ ОПУБЛИКОВАНИЕ
Приказ Министерства культуры Российской Федерации от 27.07.2017 № 1253
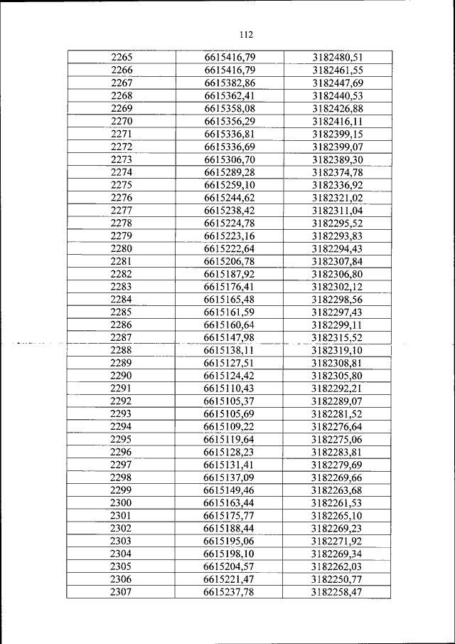
"О внесении изменений в приложение № 1 к приказу Минкультуры России от 18 октября 2016 г. № 2307 "Об утверждении границ и режима использования территории объекта культурного наследия федерального значения "Водоподводящая система Петергофа, 1720-1721 гг., инж.-гидравлик Туволков В.Г.‚ 2-я пол. ХVIII в., 1944-1948 гг., 1970-е гг. (реставрация)"‚ расположенного по адресу: город Санкт-Петербург‚ Ленинградская область"
(Зарегистрирован 23.08.2017 № 47920)
Номер опубликования: 0001201708240016
Дата опубликования: 24.08.2017
Страница №112 из 207:
Увеличить