Официальное опубликование правовых актов
ОФИЦИАЛЬНОЕ ОПУБЛИКОВАНИЕ
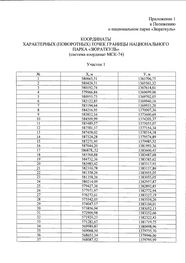
Приказ Министерства природных ресурсов и экологии Российской Федерации от 14.08.2017 № 447
"Об утверждении Положения о национальном парке "Зюраткуль"
(Зарегистрирован 05.09.2017 № 48084)
Номер опубликования: 0001201709060019
Дата опубликования: 06.09.2017
Страница №12 из 32:
Увеличить