Официальное опубликование правовых актов
ОФИЦИАЛЬНОЕ ОПУБЛИКОВАНИЕ
Приказ Министерства транспорта Российской Федерации от 07.07.2017 № 258
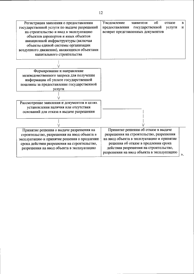
"О внесении изменений в некоторые административные регламенты Федерального агентства воздушного транспорта, утвержденные приказами Министерства транспорта Российской Федерации, по вопросам отмены обязательности печати хозяйственных обществ и совершенствования процедур предоставления государственных услуг"
(Зарегистрирован 27.09.2017 № 48338)
Номер опубликования: 0001201709280011
Дата опубликования: 28.09.2017
Страница №12 из 12:
Увеличить